

新聞資訊
知識專欄無源逆變電路的特點是無需外部換流電路,其換流過程依賴負載中的電感或電容特性。相較于有源逆變電路,無源逆變結構簡單、成本低,但需精確控制開關時序以保證換流可靠性。mosfet因其高開關速度、低導通電阻和易驅動特性,成為中小功率逆變器的理想選擇。本文以MOSFET為核心開關器件,詳細介紹了單相橋式無源逆變電路的設計方法,涵蓋電路結構、工作原理、參數計算、仿真驗證及實際應用中的優化策略。

電路結構與工作原理
1、主電路拓撲
單相橋式無源逆變電路由四只MOSFET(Q1-Q4)構成全橋結構(圖1),其核心組成部分包括:
全橋開關網絡:Q1/Q2和Q3/Q4分別組成兩個橋臂,交替導通以生成交流輸出。
續流二極管(D1-D4):為感性負載提供續流回路,避免開關器件因反向電壓擊穿。
LC濾波電路:濾除高頻開關諧波,輸出正弦波或方波電壓。
圖1:單相橋式無源逆變電路拓撲
2、工作模式
正半周工作:Q1與Q4導通,直流母線電壓施加于負載兩端(A→B),電流流經Q1→負載→Q4。
負半周工作:Q2與Q3導通,負載電壓極性反轉(B→A),電流流經Q3→負載→Q2。
換流過程:當負載為感性時,關斷Q1/Q4后,電流通過D2/D3續流,完成電流方向切換。
關鍵設計步驟
1、MOSFET選型與參數計算
耐壓要求:MOSFET的漏源極電壓需大于直流母線電壓的1.5~2倍(考慮電壓尖峰)。

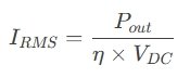
電流容量:根據輸出功率Pout和效率ηη計算額定電流:

選擇MOSFET時需留出20%~30%裕量。
2、驅動電路設計
驅動芯片選擇:采用隔離型驅動芯片(如IR2110)或光耦隔離方案,確保高低側MOSFET獨立控制。
死區時間設置:防止上下管直通,通常設置為0.5~2μs,可通過RC電路或微控制器實現。
3、濾波電路設計
電感計算:根據輸出紋波電流要求(通常<10%額定電流)和開關頻率fsw設計濾波電感:

電容計算:滿足輸出紋波電壓要求(通常<5%額定電壓):

仿真與實驗驗證
1、仿真分析
使用PSIM或LTspice搭建電路模型,驗證以下內容:
輸出波形質量:方波模式下需觀察LC濾波后的正弦波近似度。
開關時序:確保死區時間設置合理,避免直通現象。
效率評估:通過損耗分析優化MOSFET選型和散熱設計。
2、實驗測試
關鍵測試點:
橋臂中點電壓(PWM波形)。
濾波后輸出電壓THD(總諧波失真)。
MOSFET溫升(需低于額定結溫)。
問題排查:
電壓過沖:增加RC緩沖電路。
EMI干擾:優化布局并添加磁環。
應用與優化
1、負載適應性
阻性負載:無需復雜控制,直接輸出方波。
感性/容性負載:需增加電流閉環控制,防止電壓電流相位差導致換流失敗。
2、效率提升策略
同步整流技術:利用MOSFET體二極管反向恢復特性,降低導通損耗。
軟開關技術:通過諧振電路實現零電壓開關(ZVS),減少開關損耗。
3、散熱設計
根據MOSFET損耗Ploss=IRMS2×RDS(on)選擇散熱片,強制風冷條件下熱阻需滿足:

總結
MOSFET單相橋式無源逆變電路憑借其結構簡單、成本低廉的優勢,在中小功率場景中應用廣泛。設計過程中需重點關注開關時序控制、濾波參數優化及散熱設計。未來可通過數字控制(如DSP或FPGA)進一步提升波形質量和動態響應性能。
浮思特科技專注功率器件領域,為客戶提供IGBT、IPM模塊等功率器件以及MCU和觸控芯片,是一家擁有核心技術的電子元器件供應商和解決方案商。