

新聞資訊
知識專欄半導體溫度的發展是決定電力電子系統使用壽命的最重要因素,因此,盡可能準確地確定芯片溫度非常重要,那么如何確定半導體芯片溫度呢?
所有數據表規格和服務壽命計算都參考了虛擬芯片溫度或虛擬結溫Tvj的數學構造。確定功率半導體的溫度并非易事。這是因為嚴格來說,并不存在所謂的“芯片溫度”。
原位測量
所謂的原位測量是實驗室中測量芯片溫度的首選方法。在這里,待測芯片首先使用校準的加熱板加熱到精確規定的溫度。注入一個小測量電流,并測量產生的正向電壓。正向電壓與芯片溫度之間存在線性關系,前提是流過恒定且精確已知的電流。
電流必須足夠小,以免導致半導體加熱,但又必須足夠大以產生可測量的電壓。測試半導體標稱電流的1%左右的值已被證明是合理的。反過來,如果使用先前使用的電流并且知道組件上的電壓,則可以從相關性中確定芯片溫度,該相關性是唯一且可逆的。
這種實驗室測量的結果基于恒定的芯片溫度,并且由于外部加熱,芯片具有均勻的溫度分布。這種特殊情況并不反映實際應用中的條件,提供了“芯片溫度”或“結溫”Tj。
實際應用
然而,在實際應用中,芯片表面存在溫度梯度;芯片中心比邊緣,尤其是在角落處更熱。這是因為與芯片中心相比,邊緣和角落處可以向周圍的組裝和連接技術傳遞更多的熱量。

圖1
這種效應可以在圖1所示的測量中看到,這些測量是使用紅外(IR)成像相機進行的。
或者,通常在芯片上放置傳感器,例如K型熱電偶。盡管傳感器隨后提供了一個溫度值,但這并不一定代表用于表征和服務壽命確定的所需值。這種測量的一個優點是,只要測量設備滿足保護設備和人員的要求,就可以在高電壓和電流下進行操作測量。這很重要,因為傳感器與芯片電接觸,并攜帶潛在致命電壓。
溫度傳感器通常放置在芯片中心,以可靠地提供最大值。如果熱關系足夠精確地已知,也可以從最大值推斷出平均值。
虛擬芯片溫度Tvj,代表整個芯片表面的平均溫度值,在考慮服務壽命和熱設計時總是感興趣的。如果可以實現,原位測量也在實際設置中精確提供此值,因為只需要測量一個電流下的一個電壓。平均是這種測量設置的固有部分。測量的電壓代表芯片溫度,就好像它是均勻分布的一樣。
可靠性測試
半導體制造商的可靠性測試使用原位方法進行監控。在這里,由于芯片主動加熱,方法接近應用。基于此方法的負載循環阻力信息已經包括了芯片上的最大溫度值高于規定溫度的事實。這種方法保守且非常適合表征測量和質量保證過程。
另一種計算平均值的方法是評估IR圖像。這種方法還允許觀察實際操作中的半導體,并提供精確且與應用相關的信息。對于評估,IR相機通常允許定義感興趣的區域并確定其中的相關平均值。此過程用于圖1;考慮的區域包括兩個并聯連接的二極管。
這種方法的缺點是觀察到的半導體不能灌封。即使它們是光學透明的,灌封化合物也會阻擋發出的紅外輻射,使得這種測量方式不可能實現。因此,由于缺乏絕緣可能導致電弧、故障甚至破壞,此類設置不能在高電壓下運行。
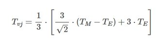
常用的另一種評估方法包括確定芯片中心和角落的溫度TM和TE,并進行2比1的加權。
虛擬芯片溫度結果為Tvj=1/3·(2·TM+TE)。這既可以從IR圖像中實現,也可以使用兩個正確放置的溫度傳感器實現。
并非巧合,即使這種看似簡單的方法也能提供準確值。精確性可以通過芯片對角線上的熱條件來解釋。
從一角到對角線對面的角,芯片上的溫度沿圓頂形曲線發展。這種形狀的良好近似是拋物線或正弦曲線。由于簡單關系,這里首選正弦曲線。

圖2
平均溫度來自正弦曲線的有效值和偏移量。圖2描繪了在這種情況下可以假設的曲線。
所需的平均值對應于RMS值,該值從幅度(TM-TE)和偏移TE計算為:

在另一種表示法中,方程可以重寫為:

使用近似3/√2~232~2,結果是:

比較方法
比較三種平均方法——原位、區域平均和2/3近似——得出了略有不同的數值。如果考慮到各自測量技術的公差,通常這些值僅在±1 K范圍內略有偏差。
圖3提供了使用IR相機從半導體模塊中兩個并聯連接的二極管測量獲得的數據的見解。

圖3
圖3中清晰可見的二極管中間的測量點Sp1和Sp4以及角落的Sp2和Sp3用于1/2加權。這些測量點是手動放置的,因此也存在公差。基于確定的局部值,二極管的虛擬芯片溫度為:

輸入區域Bx1和Bx3的平均值以及自動顯示的最大值和最小值的評估提供:

這意味著二極管D1的溫度為92.25±1.25°C,二極管D2的溫度為96.4±1.4°C。盡管在這兩種情況下都沒有達到真正的最大值或最小值,但最終確定的值的偏差可以忽略不計。
這對開發人員有什么實際用途和收益?確定芯片溫度對于支持模擬結果至關重要,這些結果通常是預測開發中系統使用壽命的起點。在操作過程中測量芯片溫度往往具有挑戰性。
因此,反復請求的是獲得帶有附在芯片上的熱傳感器的定制功率設備。相反——如果芯片尺寸允許——放置兩個傳感器將在操作條件下非常準確地獲得芯片溫度。所有方法的相似結果證明了當有兩個熱電偶的設置時,1/2平均是多么健壯。
浮思特科技專注功率器件領域,為客戶提供IGBT、IPM模塊等功率器件以及MCU和觸控芯片,是一家擁有核心技術的電子元器件供應商和解決方案商。