

新聞資訊
知識專欄寬禁帶半導體材料氮化鎵(GaN)具有優良的電學和光學特性,使其在各種電子和光電子設備中得到了廣泛應用。然而,與其他半導體相比,其本征熱導率明顯較低。硅摻雜的引入可以顯著影響散裝氮化鎵(GaN)的熱導率。本文將描述硅摻雜對高溫下散裝GaN熱導率的影響,并以實驗證據證明理論處理的有效性。
研究目標
在之前的一項研究中,研究人員使用3ω技術測定了散裝GaN在環境溫度及更高溫度下的熱導率,并發現其與Si摻雜水平呈負相關。此外,研究人員觀察到,隨著Si摻雜的增加,熱導率對溫度依賴性的斜率逐漸減小。觀察到在溫度超過350 K時,最高摻
的樣品的熱導率超過了較低摻雜樣品的熱導率。
在后續的研究1中,研究人員開發了一種改進的Callaway模型,該模型適用于高溫下的n型GaN,以解釋這種行為。
熱導率的作用
近年來,III族氮化物,包括高電子遷移率晶體管(HEMTs)、肖特基勢壘二極管(SBDs)、發光二極管(LEDs)和激光二極管(LDs),已展示出在電力電子系統和固態照明技術中作為基本組件的潛力。對于這些設備而言,熱量從活性區域的有效移除對其性能和可靠性至關重要,特別是在高溫和高輸出功率下運行時。
之前的研究對III族氮化物材料的熱導率進行了深入調查。然而,這些研究中公布的實驗數據表現出顯著的差異。這種差異可以歸因于所分析樣品質量的不一致性以及所采用測量技術中遇到的特定困難。
不同的設備應用需要使用各種不同的GaN基板,包括未摻雜、n型摻雜或半絕緣基板。因此,為了有效管理熱條件,準確理解摻雜對GaN熱導率的影響是至關重要的。對GaN中Si摻雜作用的全面研究尤為重要,因為Si是獲得n型導電性的主要摻雜劑。
測量過程
所研究的樣品是通過切割使用高壓光電化學(HVPE)技術沿[0001] GaN晶體學方向在藍寶石基板上生產的散裝GaN得到的。GaN層通常具有約1毫米的厚度。在熱導率研究中使用的樣品的橫向直徑范圍為5×5 mm2到10×10 mm2。為了實現硅摻雜,將硅烷(SiH4)注入反應器,并使用氮氣(N2)作為載氣。
使用3ω方法確定熱導率,該方法涉及在樣品表面光刻沉積一根包含四個接觸墊的細金屬線,按照標準設計進行。該金屬線既用作加熱裝置又用作傳感機制。樣品被安裝在一個溫控板上,在295-470 K的溫度范圍內進行測量。為了確保溫度測量的準確性,在靠近樣品的板的上部另外固定了一個熱電偶。
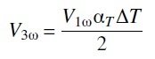
3ω技術涉及在金屬線上施加角頻率為ω的交流電,然后測量3ω頻率的電壓降作為ω的函數。金屬線經歷焦耳加熱,產生功率振蕩頻率為2ω的熱通量。此熱通量隨后散發到位于其下的樣品中。金屬線的電阻受到樣品所發出的熱波的影響,這是由于電阻率的非零溫度系數所致。因此,金屬線上出現了第三諧波分量的電壓降。V3ω分量的幅度表達式如下:

其中,αT是電阻率的溫度系數,ΔT是溫度振蕩,V1ω是基頻ω下的電壓降幅度。功率歸一化的溫度變化可以近似為:

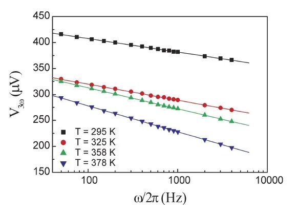
在這種情況下,P代表施加在金屬線上的功率,l表示金屬線的長度,k表示熱導率,C表示一個與頻率和金屬線長度無關的常數。通過分析V3ω與ln(ω)依賴性的斜率,可以確定熱導率,因為ΔT/P與V3ω成正比。需要注意的是,在各種溫度下,整個頻率范圍(50-4000 Hz)的依賴性線性表明實驗中的邊界條件得到了滿足,如圖1所示。

實驗結果
通過硅摻雜將雜質原子引入GaN晶格中,導致其晶格結構發生變化。這些雜質的存在擾亂了原子的正常配置,導致聲子的色散關系和聲子的散射發生變化。雜質的存在導致聲子散射,減小了聲子的平均自由程,從而降低了熱導率。
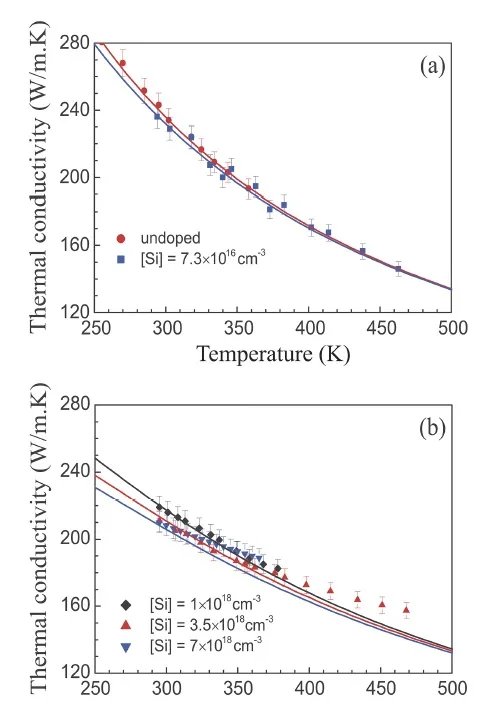
所有GaN樣品的測量均在相同條件下進行。未摻雜樣品在環境溫度(T = 295 K)下的熱導率為k = 245±5 W/m·K。這個值與自由生長HVPE中的GaN統計數據一致。隨著Si濃度的增加,熱導率逐漸下降。最高摻雜樣品的熱導率為k = 210±6 W/m·K。
這種現象是合理的,可以通過聲子-點缺陷散射的增加來解釋。所有樣品的熱導率在高溫(T > 295 K)下均表現出下降,如圖2所示。然而,不同Si濃度樣品的下降速率(即熱導率對溫度依賴性的斜率)存在差異。

使用改進的Callaway模型對熱導率的溫度依賴性進行了建模。然而,模型中只使用了縱向和橫向聲子的Grüneisen參數作為可變因素,而非多個散射率系數。
圖3展示了熱導率與Si摻雜在不同溫度下的關系。在300-350K的溫度范圍內,將聲子-自由電子(FE)散射納入模型對于全面解釋實驗數據至關重要。然而,在超過350 K的溫度下,FE散射的影響似乎減弱,這從兩條模擬曲線的接近程度可以看出。

在高溫下,預計熱導率將不受硅濃度的影響,直到[Si]~1·101? cm?3。然而,在室溫下,熱導率僅依賴于硅濃度,直到[Si]~5·101? cm?3。圖3中展示的室溫下熱導率的模式與之前在藍寶石上的薄Si摻雜GaN層的數據一致。然而,本研究中觀察到的值顯著增加,主要歸因于散裝GaN相比于薄外延GaN層的較低結構缺陷密度。
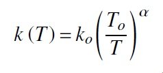
通過使用簡單的冪律模型分析溫度依賴的熱導率,可以進一步理解室溫以上溫度下主要的散射現象。此模型的數學表達式如下:

室溫下的熱導率表示為k0,To = 295 K。這個經驗擬合在熱管理和設備設計中具有潛在的使用價值,因為它可以預測不同溫度和摻雜水平下的熱導率特性。
圖4展示了所有測量樣品的這種匹配的實例。圖5展示了斜率(α)與Si濃度的關系。實驗結果表明,隨著摻雜水平的增加,斜率逐漸下降,從未摻雜樣品的α = 1.3下降到最高摻雜樣品的α = 0.55。未摻雜樣品的觀察斜率與高質量HVPE生產的GaN先前文獻值一致,分別為1.439和1.22。
浮思特科技專注功率器件領域,為客戶提供IGBT、IPM模塊等功率器件以及MCU和觸控芯片,是一家擁有核心技術的電子元器件供應商和解決方案商。