

新聞資訊
知識專欄功率二極管是最常用的元件之一,也是電子學中最早被發現的器件之一。它的功能是讓電流只在一個方向上通過,并在相反方向上阻止電流。在許多應用中,它必須允許大量的能量通過,因此市場上有功率二極管出售。它們非常堅固,能夠允許非常高的功率耗散。
功率二極管
功率二極管是一種非線性無源電子元件,由兩個端子組成:陽極和陰極。它使電流只在一個方向上通過,而在另一個方向上完全阻斷(見圖1)。它是一種半導體元件,因此充當單向電流開關。如前所述,其行為是非線性的,因為其輸出信號的趨勢并不總是跟隨輸入信號的趨勢。二極管的特性曲線圖形化地表示了通過改變功率二極管陽極和陰極之間的電壓而得到的電流值。如果電壓為正,元件則為正向偏置。如果電壓為負,功率二極管則為反向偏置。

圖1
功率二極管有三種類型:
適用于通用應用、直流或主頻電路的二極管。由于其操作幾乎是靜態的,它們可以承受數千伏和數千安培,并且可以在它們之間進行并聯連接。
肖特基二極管。當需要低電壓降時使用它們。實際上,它們的電勢差約為0.2 V或0.3 V。它們的最大反向電壓相當有限。
用于高速操作的快速恢復二極管。它們通常與快速電子開關(如mosfet)一起使用。它們的恢復時間小于1 μs。
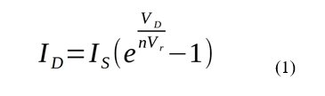
某些類型可以承受數千安培的電流和數千伏的電壓。考慮例如在汽車、鐵路和一般運輸部門中的電力應用。當陽極上的電壓高于陰極上的電壓時,功率二極管可以導通電流。在操作過程中,這兩個端子之間的電勢差相當低,在0.2 V到2 V之間(理想二極管中只有0 V的差異)。如果陰極上的電壓大于陽極上的電壓,功率二極管處于關閉狀態,不導通電流。因此,它的用途涵蓋了開關、整流器中的轉換器、開關電路、絕緣、充電電容器、再循環設備等多種功能。剛才看到的圖表特性由肖克利方程描述,公式如下:

其中,Id是二極管上的直流電流,Vd是正向偏置電壓,Is是反向飽和電流,n是理想因子,介于1和2之間(鍺:1;硅:2)。
在電力和高頻應用中,一個非常重要的參數是恢復時間,即電流通過零點的瞬間和反向電流降至其最大峰值的25%的時刻之間的時間。不幸的是,它是限制直流電量和工作頻率的因素。
從交流電到直流電的轉換
在所有家庭中,電力以交流形式到達,這是由于電力在線路上運輸的原因。大多數電力應用都使用直流電壓。因此,有必要將這種正弦交流電壓(頻率為50或60 Hz)轉換為直流電壓。獲得直流電壓非常簡單。變壓器和二極管整流器將交流電輸入轉換為直流電。如果涉及的功率很高,變壓器的尺寸可能非常重要。但如今,我們總是試圖避免使用大而昂貴的變壓器。
輸出的直流成分必須使用高容量的電容器進行濾波,以完全平滑并消除波動和諧波。如果理論上說這種系統可以獲得完美的直流電壓,實際上各種現象會發生,導致輸出信號略有惡化。電容器的功能是充電至接近交流電壓峰值的值,并盡可能保持這一水平。只有二極管的電勢差阻止了完全達到最大峰值值。負載的低阻抗使電容器放電,產生一個雙頻率交流輸入信號的“波紋”信號。在圖2中,可以看到將交流電轉換為直流電的經典電路。它由以下電氣和電子元件組成:
V0p為325 V(RMS約為230 V)的正弦交流電源
理想的40 V電壓變壓器
由四個超快速恢復二極管RFN20TF6S(Vr = 600 V,ID = 20 A)組成的Graetz橋整流器
高容量的電解平滑電容器(濾波器)
10-Ω電阻負載,平均耗散功率為90 W
該電路,帶有合適的平滑電解電容器(約47000 μF),在各節點處有以下電壓:
V(a,b):650-Vpp 50-Hz交流電源(–325 V,0 V,325 V)
V(c,d):變壓器變壓并降低后的電壓為64 Vpp(–32 V,0 V,32 V)
V(e):30 V的直流電壓(帶平滑電容器)
V(e):40 V0p的脈動電壓(不帶平滑電容器)
建議仔細檢查同一圖中所有示波圖,參考節點A、B、C、D和E。該電路的效率約為75%,變壓器顯然必須能夠承受負載所需的功率。有時,負載吸收的失真電流會導致電源電壓波形的失真。

波紋
在這種類型的電路中,有一個波紋信號,它取決于濾波電容器的值和負載的值(見圖3)。波紋百分比與負載的電阻值和濾波電容器的容量成反比。通常,電源提供的電壓保留一些交流電壓的“痕跡”,以波紋的形式疊加在直流電壓上。這些波紋呈鋸齒形,并使輸入頻率加倍。波紋是由于負載吸收的電流造成的。電容器的放電階段發生在一個半波和下一個半波之間。負載吸收的電流越低,電容器的電容越大,波紋電壓值就越低。在更簡單的電源中,平滑輸出電壓的元件是電解電容器。有一些公式可以確定其理想值。電容器的值當然取決于用戶愿意接受的波紋百分比。電容值低的電容器實際上會確定較高的波紋百分比,而電容值高的電容器則相反。一個返回使用電容值的簡單公式如下:

其中,C是電容器的電容,以法拉(對于微法拉,只需將值乘以1,000,000)表示,Ioutput是最大輸出電流,f是正半波的頻率(在這種情況下為100 Hz),Vripple是要獲得的峰值波紋電壓。
例如,以上電路具有以下波紋值,取決于以下濾波電容器:
4700 μF:約10 V的波紋(不可接受)
47000 μF:約1 V的波紋(相當可接受)
860000 μF:約0.05 V的波紋(非常可接受)
從公式中可以推斷出,電容越大,負載吸收的電流越大,波紋幅度越小。實際上,對于負載上的每安培電流,計算10000 μF。

波紋以百分比表示,并參考為負載供電的電壓的平均VCC值。在設計階段必須確定允許的波紋量。計算該參數百分比的公式如下:

低百分比的波紋意味著高質量的電源。觀察連續輸出信號的一些FFT分析,關于所使用的濾波電容器的類型是很有趣的。圖4顯示了分別使用860000 μF、47000 μF和4700 μF電解電容器在輸出端進行的三次FFT分析。注意到大容量可以獲得干凈的信號,具有非常低的諧波數量。顯然,配備高容量電容器的優秀濾波器顯著增加了項目的成本。
結論
AC/DC轉換電路是最常用的,尤其是近年來。為了其最佳運行,使用的所有元件都是優質的,這可能顯著增加其成本。通過這種解決方案,涉及的效率不高,并且功率損失可能難以容忍。在接下來的文章中,您將發現使用最新一代電子元件的進一步轉換技術。
浮思特科技專注功率器件領域,為客戶提供IGBT、IPM模塊等功率器件以及MCU和觸控芯片,是一家擁有核心技術的電子元器件供應商和解決方案商。